Официальное опубликование правовых актов
ОФИЦИАЛЬНОЕ ОПУБЛИКОВАНИЕ
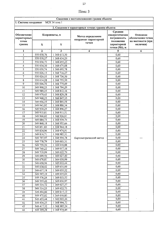
Приказ комитета природных ресурсов, лесного хозяйства и экологии Волгоградской области от 20.07.2022 № 927-ОД
"Об утверждении решения об установлении зон санитарной охраны водозаборных скважин № 1, № 2, № 3, используемых в целях питьевого и хозяйственно-бытового водоснабжения МУП "Иловля Жилищно-коммунальное хозяйство" р.п. Иловля Иловлинского муниципального района Волгоградской области"
Номер опубликования: 3401202207250003
Дата опубликования: 25.07.2022
Страница №23 из 25:
Увеличить