Официальное опубликование правовых актов
ОФИЦИАЛЬНОЕ ОПУБЛИКОВАНИЕ
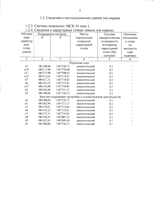
Приказ комитета государственной охраны объектов культурного наследия Волгоградской области от 19.07.2022 № 345
"Об установлении зон охраны ряда объектов культурного наследия регионального значения, расположенных на территории городского округа город-герой Волгоград, утверждении требований к градостроительным регламентам в границах данных зон"
Номер опубликования: 3401202207210006
Дата опубликования: 21.07.2022
Страница №4 из 20:
Увеличить