Официальное опубликование правовых актов
ОФИЦИАЛЬНОЕ ОПУБЛИКОВАНИЕ
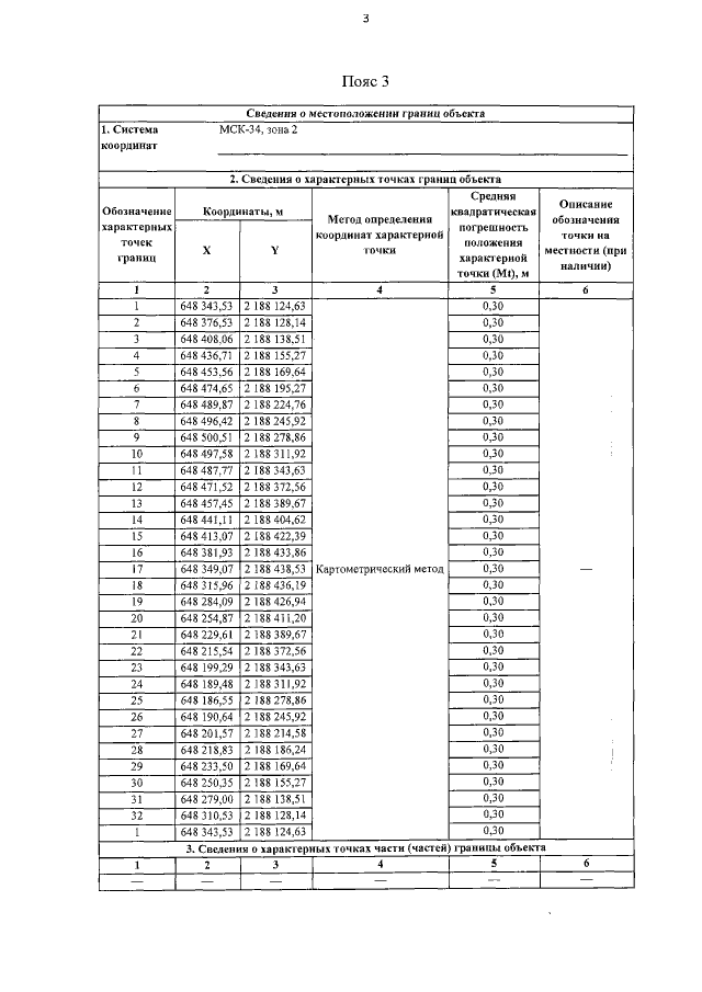
Приказ комитета природных ресурсов, лесного хозяйства и экологии Волгоградской области от 27.06.2022 № 836-ОД
"Об утверждении решения об установлении зон санитарной охраны водозаборной скважины № 3, используемой в целях питьевого и хозяйственно-бытового водоснабжения Попковского сельского поселения Котовского муниципального района Волгоградской области"
Номер опубликования: 3401202206280006
Дата опубликования: 28.06.2022
Страница №9 из 9:
Увеличить