Официальное опубликование правовых актов
ОФИЦИАЛЬНОЕ ОПУБЛИКОВАНИЕ
Приказ комитета природных ресурсов, лесного хозяйства и экологии Волгоградской области от 02.06.2022 № 764-ОД
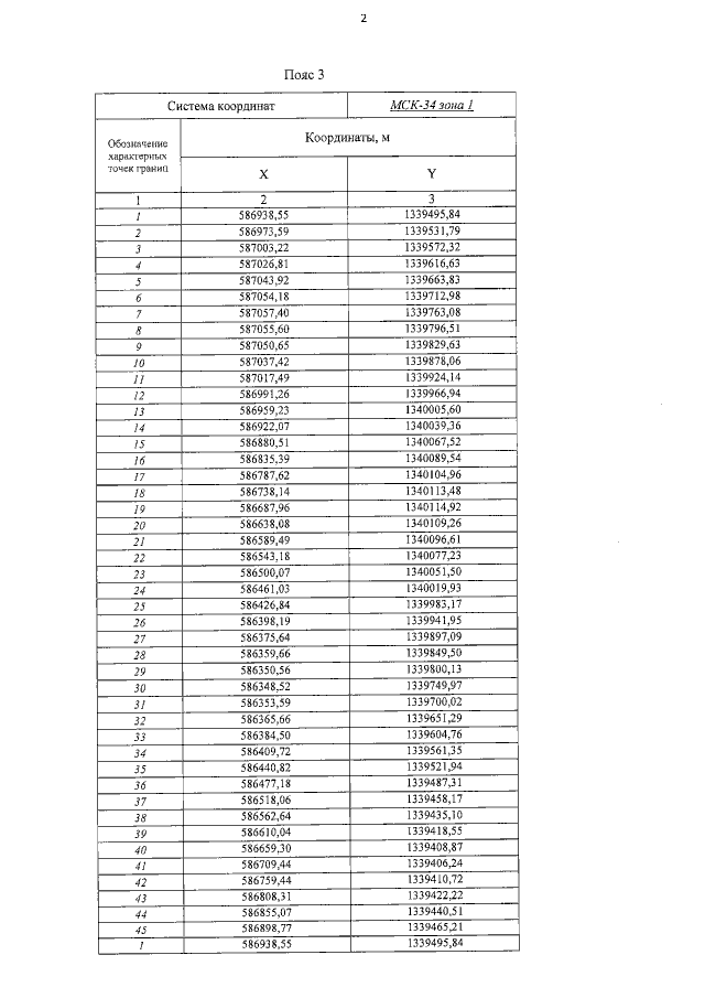
"Об утверждении решения об установлении зон санитарной охраны водозаборных скважин №№ 1, 2 Фроловского ЛПУМГ ООО "Газпром трансгаз Волгоград"
Номер опубликования: 3401202206100007
Дата опубликования: 10.06.2022
Страница №8 из 10:
Увеличить