Официальное опубликование правовых актов
ОФИЦИАЛЬНОЕ ОПУБЛИКОВАНИЕ
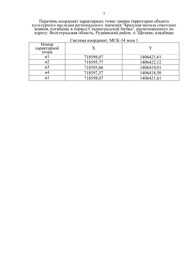
Приказ комитета государственной охраны объектов культурного наследия Волгоградской области от 30.05.2022 № 239
"Об утверждении границ и режимов использования территории ряда объектов культурного наследия регионального значения, расположенных на территории Руднянского и Светлоярского районов Волгоградской области"
Номер опубликования: 3401202205310002
Дата опубликования: 31.05.2022
Страница №21 из 34:
Увеличить