Официальное опубликование правовых актов
ОФИЦИАЛЬНОЕ ОПУБЛИКОВАНИЕ
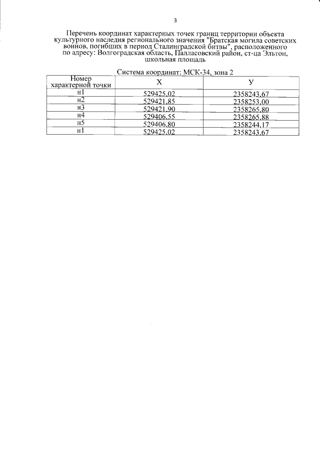
Приказ комитета государственной охраны объектов культурного наследия Волгоградской области от 25.04.2022 № 160
"Об утверждении границ и режимов использования территории ряда объектов культурного наследия регионального значения, расположенных на территории Палласовского, Серафимовичского и Жирновского районов Волгоградской области"
Номер опубликования: 3401202204260013
Дата опубликования: 26.04.2022
Страница №5 из 42:
Увеличить