Официальное опубликование правовых актов
ОФИЦИАЛЬНОЕ ОПУБЛИКОВАНИЕ
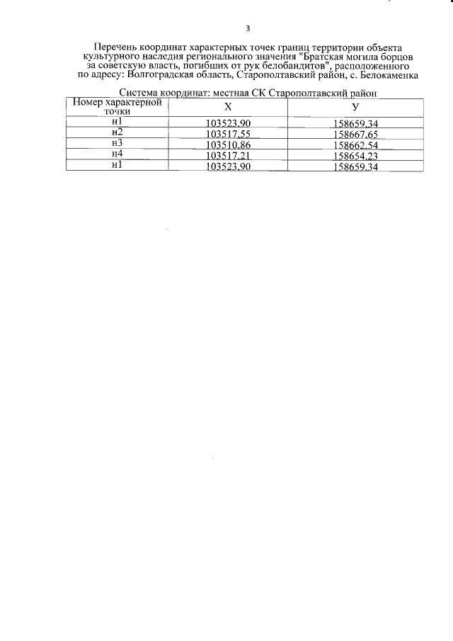
Приказ комитета государственной охраны объектов культурного наследия Волгоградской области от 13.04.2022 № 141
"Об утверждении границ и режимов использования территории ряда объектов культурного наследия регионального значения, расположенных на территории Старополтавского района Волгоградской области"
Номер опубликования: 3401202204140012
Дата опубликования: 14.04.2022
Страница №33 из 42:
Увеличить