Официальное опубликование правовых актов
ОФИЦИАЛЬНОЕ ОПУБЛИКОВАНИЕ
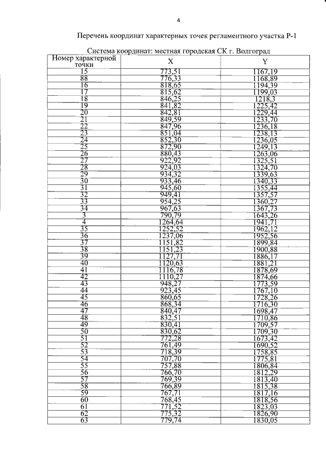
Приказ комитета государственной охраны объектов культурного наследия Волгоградской области от 14.03.2022 № 77
"Об утверждении требований к осуществлению деятельности и градостроительному регламенту в границах территории объекта культурного наследия регионального значения "Достопримечательное место "Героическая оборона Сталинграда воинами 13-й Гвардейской дивизии и Волжской военной флотилии в 1942 - 1943 гг.", расположенного по адресу: Волгоградская область, г. Волгоград, Центральный район, берег р. Волги в районе музея-панорамы "Сталинградская битва"
Номер опубликования: 3401202203150004
Дата опубликования: 15.03.2022
Страница №9 из 16:
Увеличить