Официальное опубликование правовых актов
ОФИЦИАЛЬНОЕ ОПУБЛИКОВАНИЕ
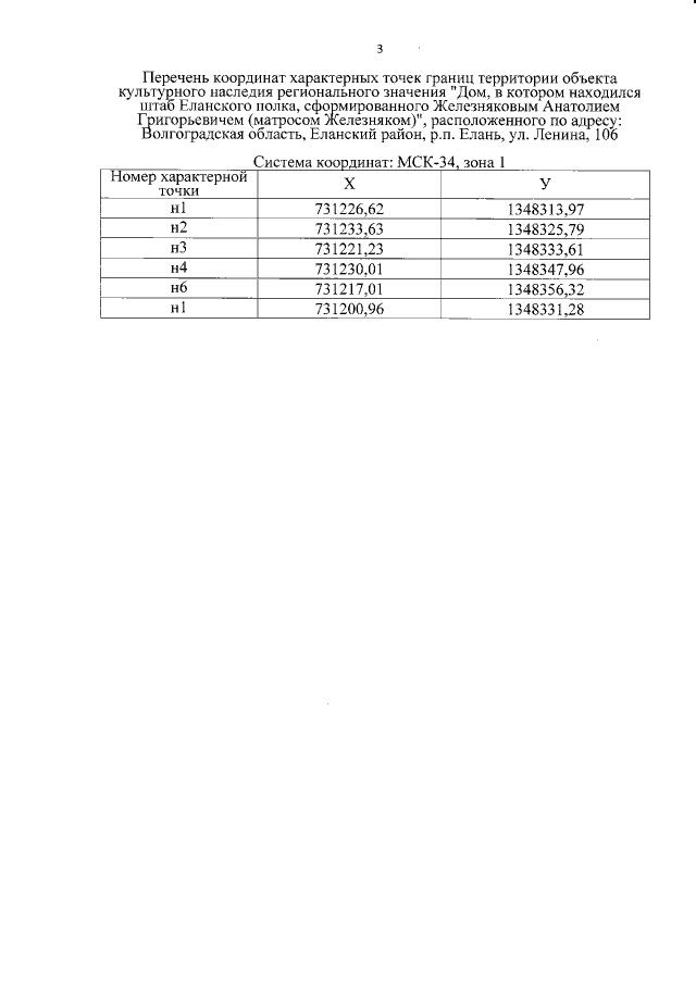
Приказ комитета государственной охраны объектов культурного наследия Волгоградской области от 22.02.2022 № 54
"Об утверждении границ и режимов использования территории ряда объектов культурного наследия регионального значения, расположенных на территории Быковского, Еланского и Суровикинского районов Волгоградской области"
Номер опубликования: 3401202202240002
Дата опубликования: 24.02.2022
Страница №29 из 42:
Увеличить