Официальное опубликование правовых актов
ОФИЦИАЛЬНОЕ ОПУБЛИКОВАНИЕ
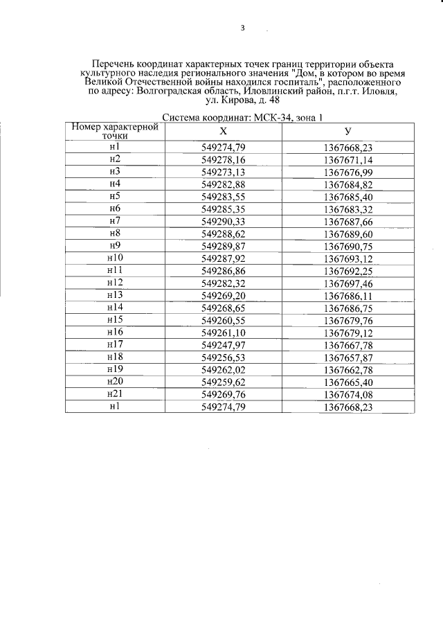
Приказ комитета государственной охраны объектов культурного наследия Волгоградской области от 07.02.2022 № 39
"Об утверждении границ и режимов использования территории ряда объектов культурного наследия регионального значения, расположенных на территории Иловлинского района Волгоградской области"
Номер опубликования: 3401202202080002
Дата опубликования: 08.02.2022
Страница №12 из 17:
Увеличить