Официальное опубликование правовых актов
ОФИЦИАЛЬНОЕ ОПУБЛИКОВАНИЕ
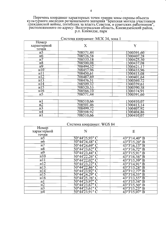
Приказ комитета государственной охраны объектов культурного наследия Волгоградской области от 16.08.2021 № 495
"Об установлении зон охраны ряда объектов культурного наследия регионального значения, расположенных на территории Киквидзенского, Среднеахтубинского и Светлоярского районов Волгоградской области, утверждении требований к градостроительным регламентам в границах территорий данных зон"
Номер опубликования: 3401202108170005
Дата опубликования: 17.08.2021
Страница №6 из 28:
Увеличить