Официальное опубликование правовых актов
ОФИЦИАЛЬНОЕ ОПУБЛИКОВАНИЕ
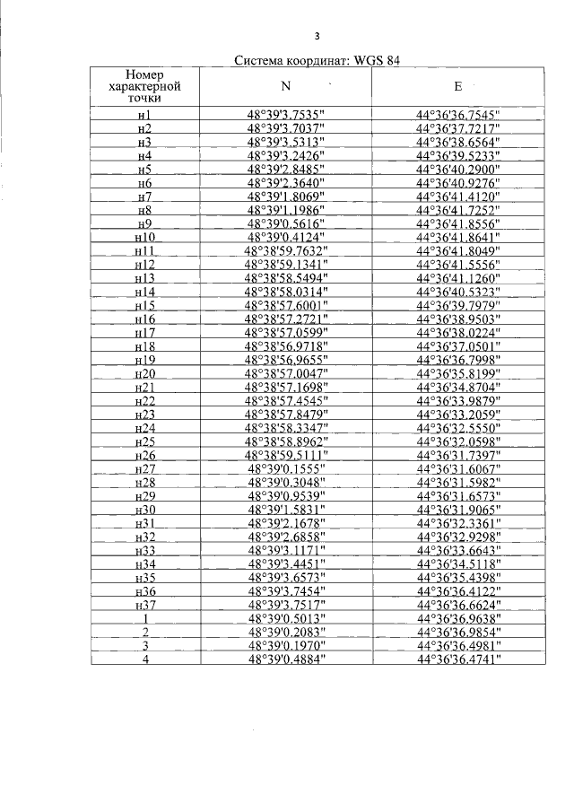
Приказ комитета государственной охраны объектов культурного наследия Волгоградской области от 15.07.2021 № 438
"Об утверждении описания местоположения границ защитной зоны объекта культурного наследия регионального значения "Братская могила советских воинов, погибших в период Сталинградской битвы", расположенного по адресу: Волгоградская область, Среднеахтубинский район, х. Ямы"
Номер опубликования: 3401202107160002
Дата опубликования: 16.07.2021
Страница №4 из 5:
Увеличить