Официальное опубликование правовых актов
ОФИЦИАЛЬНОЕ ОПУБЛИКОВАНИЕ
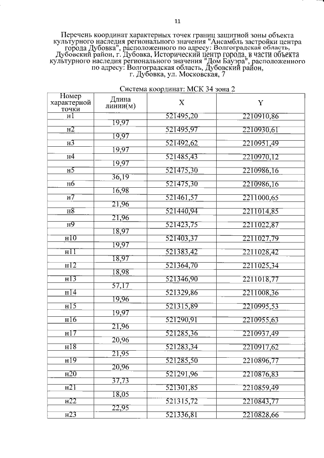
Приказ комитета государственной охраны объектов культурного наследия Волгоградской области от 15.06.2021 № 401
"О внесении изменений в некоторые приказы комитета государственной охраны объектов культурного наследия Волгоградской области"
Номер опубликования: 3401202106160009
Дата опубликования: 16.06.2021
Страница №12 из 29:
Увеличить