Официальное опубликование правовых актов
ОФИЦИАЛЬНОЕ ОПУБЛИКОВАНИЕ
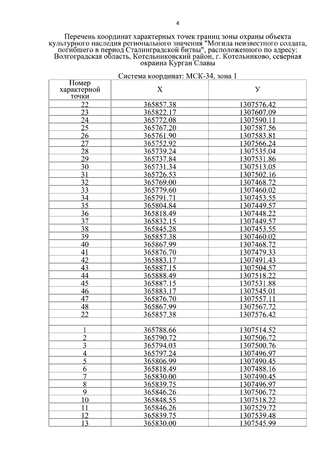
Приказ комитета государственной охраны объектов культурного наследия Волгоградской области от 28.05.2021 № 376
"Об установлении зон охраны ряда объектов культурного наследия регионального значения, расположенных на территории Котельниковского района Волгоградской области, утверждении требований к градостроительным регламентам в границах территории данных зон"
Номер опубликования: 3401202105310003
Дата опубликования: 31.05.2021
Страница №33 из 50:
Увеличить