Официальное опубликование правовых актов
ОФИЦИАЛЬНОЕ ОПУБЛИКОВАНИЕ
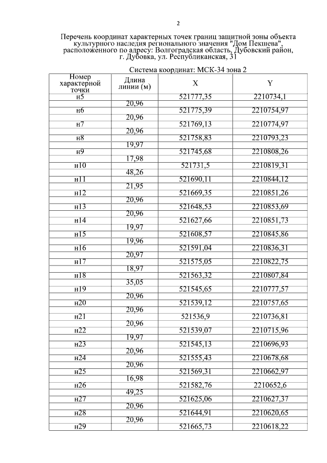
Приказ комитета государственной охраны объектов культурного наследия Волгоградской области от 12.04.2021 № 316
"Об утверждении описания местоположения границ защитных зон объектов культурного наследия, расположенных на территории Дубовского района Волгоградской области, режима использования земель в границах защитных зон"
Номер опубликования: 3401202104150005
Дата опубликования: 15.04.2021
Страница №11 из 34:
Увеличить