Официальное опубликование правовых актов
ОФИЦИАЛЬНОЕ ОПУБЛИКОВАНИЕ
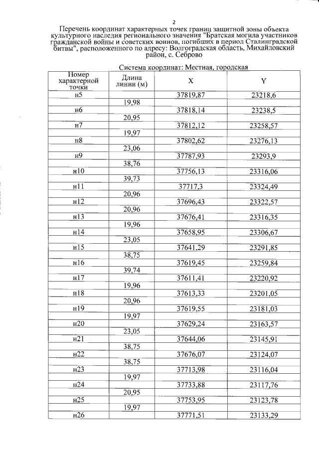
Приказ комитета государственной охраны объектов культурного наследия Волгоградской области от 08.04.2021 № 307
"Об утверждении описания местоположения границ защитных зон объектов культурного наследия, расположенных на территории городского округа город Михайловка Волгоградской области, режима использования земель в границах защитных зон"
Номер опубликования: 3401202104090004
Дата опубликования: 09.04.2021
Страница №30 из 36:
Увеличить