Официальное опубликование правовых актов
ОФИЦИАЛЬНОЕ ОПУБЛИКОВАНИЕ
Приказ комитета здравоохранения Волгоградской области от 16.03.2021 № 23н
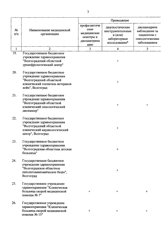
"О внесении изменений в приказ комитета здравоохранения Волгоградской области от 08 сентября 2020 г. № 2290н "Об утверждении перечня медицинских организаций, в которых проводятся профилактические медицинские осмотры и диспансеризация, диагностические исследования, диспансерное наблюдение за пациентом с онкологическими заболеваниями на территории Волгоградской области"
Номер опубликования: 3401202103190017
Дата опубликования: 19.03.2021
Страница №4 из 12:
Увеличить