Официальное опубликование правовых актов
ОФИЦИАЛЬНОЕ ОПУБЛИКОВАНИЕ
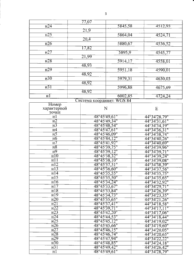
Приказ комитета государственной охраны объектов культурного наследия Волгоградской области от 15.03.2021 № 170
"Об утверждении описания местоположения границ защитных зон объектов культурного наследия, расположенных на территории городского округа город-герой Волгоград, режима использования земель в границах защитных зон"
Номер опубликования: 3401202103160033
Дата опубликования: 16.03.2021
Страница №20 из 32:
Увеличить