Официальное опубликование правовых актов
ОФИЦИАЛЬНОЕ ОПУБЛИКОВАНИЕ
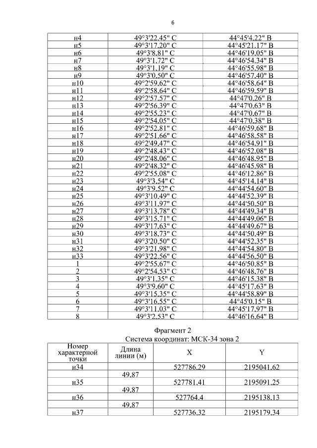
Приказ комитета государственной охраны объектов культурного наследия Волгоградской области от 09.03.2021 № 147
"Об утверждении описания местоположения границ защитных зон объектов культурного наследия, расположенных на территории Дубовского, Клетского, Ленинского и Иловлинского районов Волгоградской области, режима использования земель в границах защитных зон"
Номер опубликования: 3401202103120001
Дата опубликования: 12.03.2021
Страница №11 из 37:
Увеличить