Официальное опубликование правовых актов
ОФИЦИАЛЬНОЕ ОПУБЛИКОВАНИЕ
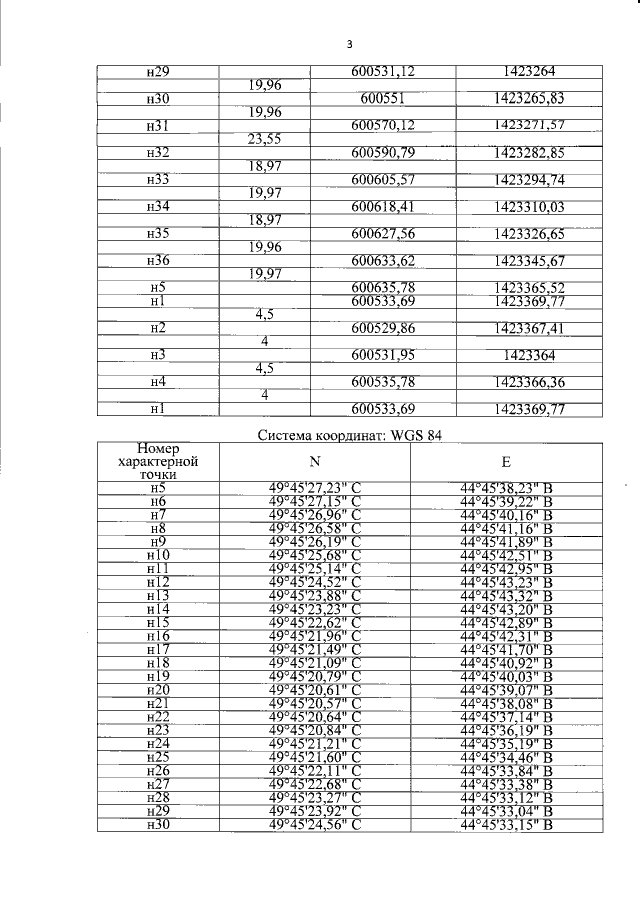
Приказ комитета государственной охраны объектов культурного наследия Волгоградской области от 03.03.2021 № 112
"Об утверждении описания местоположения границ защитных зон объектов культурного наследия, расположенных на территории Городищенского, Ольховского и Палласовского районов Волгоградской области, режима использования земель в границах защитных зон"
Номер опубликования: 3401202103040003
Дата опубликования: 04.03.2021
Страница №8 из 26:
Увеличить