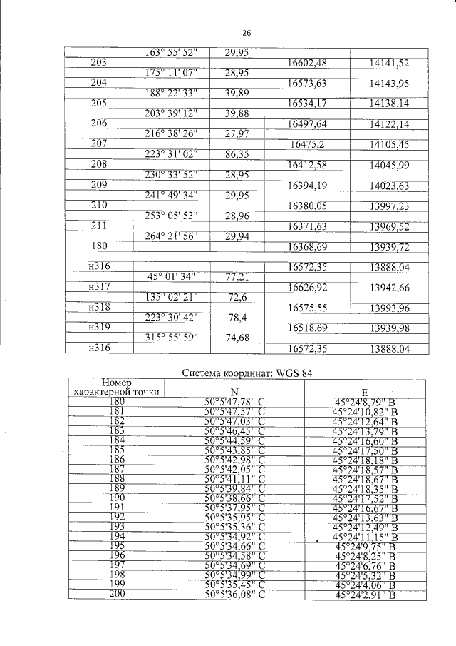
Приказ комитета государственной охраны объектов культурного наследия Волгоградской области от 02.03.2021 № 111
"Об утверждении описания местоположения границ защитной зоны объекта культурного наследия регионального значения "Исторический центр города Камышина", расположенного по адресу: Волгоградская область, г. Камышин, режима использования земель в границах данной защитной зоны"
"Об утверждении описания местоположения границ защитной зоны объекта культурного наследия регионального значения "Исторический центр города Камышина", расположенного по адресу: Волгоградская область, г. Камышин, режима использования земель в границах данной защитной зоны"
Номер опубликования: 3401202103040001
Дата опубликования:
04.03.2021
