Официальное опубликование правовых актов
ОФИЦИАЛЬНОЕ ОПУБЛИКОВАНИЕ
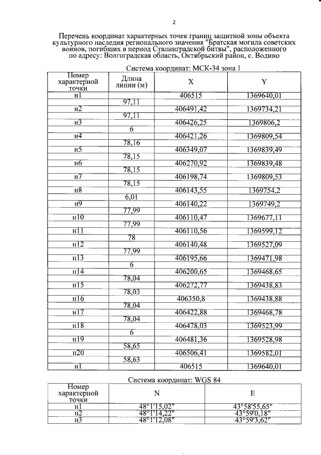
Приказ комитета государственной охраны объектов культурного наследия Волгоградской области от 24.02.2021 № 102
"Об утверждении описания местоположения границ защитных зон объектов культурного наследия, расположенных на территории Октябрьского района Волгоградской области, режима использования земель в границах защитных зон"
Номер опубликования: 3401202102250012
Дата опубликования: 25.02.2021
Страница №3 из 23:
Увеличить