Официальное опубликование правовых актов
ОФИЦИАЛЬНОЕ ОПУБЛИКОВАНИЕ
Приказ комитета государственной охраны объектов культурного наследия Волгоградской области от 24.02.2021 № 100
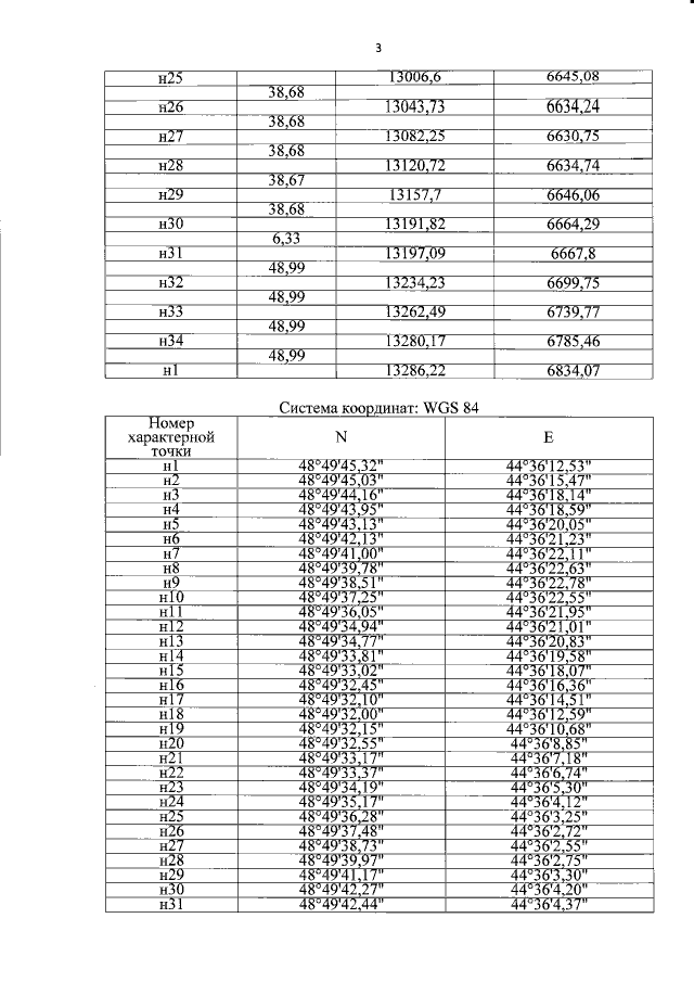
"Об утверждении описания местоположения границ защитных зон объектов культурного наследия, расположенных на территории городского округа город-герой Волгоград, режима использования земель в границах защитных зон"
Номер опубликования: 3401202102250005
Дата опубликования: 25.02.2021
Страница №11 из 36:
Увеличить