Официальное опубликование правовых актов
ОФИЦИАЛЬНОЕ ОПУБЛИКОВАНИЕ
Приказ комитета промышленной политики, торговли и топливно-энергетического комплекса Волгоградской области от 12.02.2021 № 7-н
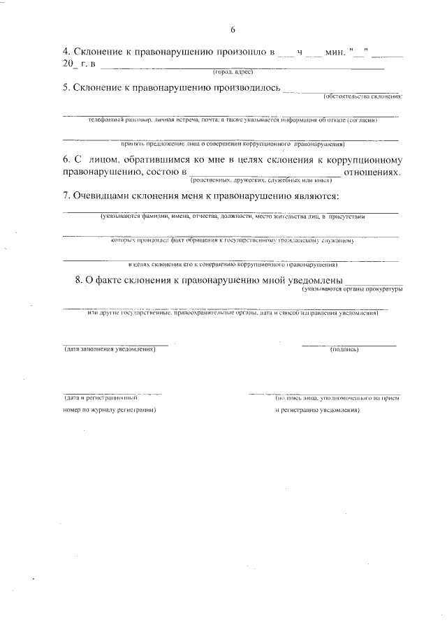
"Об утверждении Порядка уведомления представителя нанимателя о фактах обращения в целях склонения государственного гражданского служащего Волгоградской области, замещающего должность государственной гражданской службы Волгоградской области в комитете промышленной политики, торговли и топливно-энергетического комплекса Волгоградской области, к совершению коррупционных правонарушений"
Номер опубликования: 3401202102150014
Дата опубликования: 15.02.2021
Страница №8 из 9:
Увеличить