Официальное опубликование правовых актов
ОФИЦИАЛЬНОЕ ОПУБЛИКОВАНИЕ
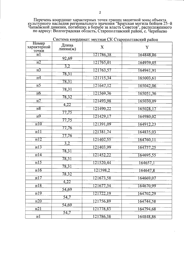
Приказ комитета государственной охраны объектов культурного наследия Волгоградской области от 12.02.2021 № 58
"Об утверждении описания местоположения границ защитных зон объектов культурного наследия, расположенных на территории Старополтавского района Волгоградской области, режима использования земель в границах данных защитных зон"
Номер опубликования: 3401202102150009
Дата опубликования: 15.02.2021
Страница №30 из 32:
Увеличить