Официальное опубликование правовых актов
ОФИЦИАЛЬНОЕ ОПУБЛИКОВАНИЕ
Приказ комитета государственной охраны объектов культурного наследия Волгоградской области от 09.02.2021 № 49
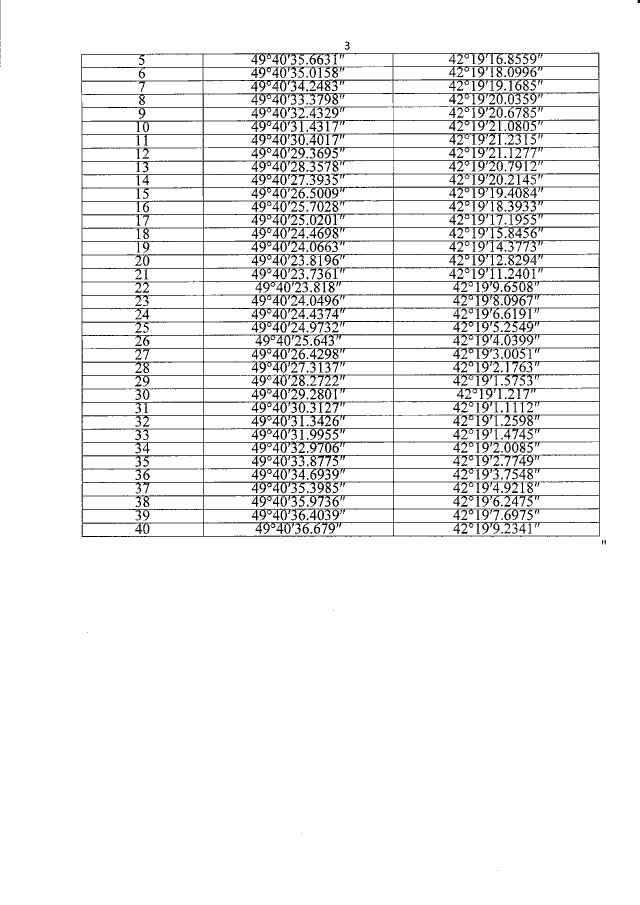
"О внесении изменения в приказ комитета государственной охраны объектов культурного наследия Волгоградской области от 22 декабря 2020 г. № 461 "Об утверждении описания местоположения границ защитных зон объектов культурного наследия, расположенных на территории Кумылженского района Волгоградской области, режима использования земель в границах данных защитных зон"
Номер опубликования: 3401202102100004
Дата опубликования: 10.02.2021
Страница №4 из 4:
Увеличить