Приказ комитета государственной охраны объектов культурного наследия Волгоградской области от 05.02.2021 № 43
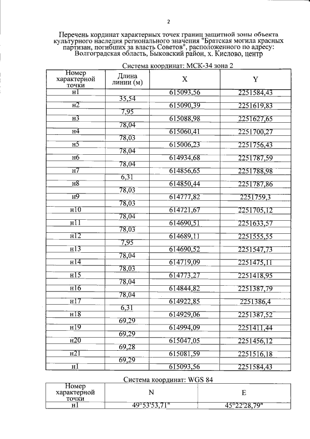
"Об утверждении описания местоположения границ защитных зон объектов культурного наследия, расположенных на территории Быковского района Волгоградской области, режима использования земель в границах защитных зон"
"Об утверждении описания местоположения границ защитных зон объектов культурного наследия, расположенных на территории Быковского района Волгоградской области, режима использования земель в границах защитных зон"
Номер опубликования: 3401202102080012
Дата опубликования:
08.02.2021
