Официальное опубликование правовых актов
ОФИЦИАЛЬНОЕ ОПУБЛИКОВАНИЕ
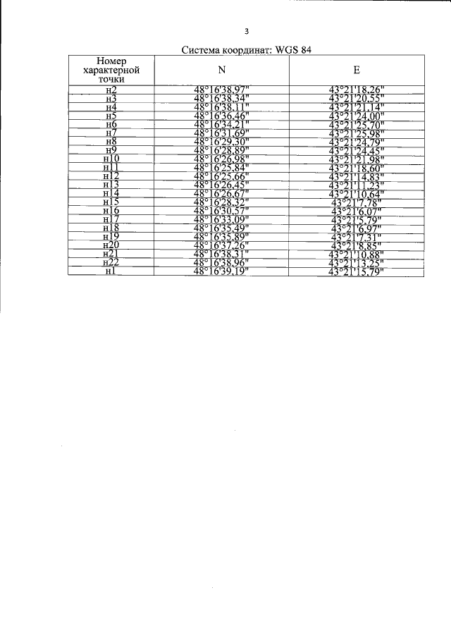
Приказ комитета государственной охраны объектов культурного наследия Волгоградской области от 05.02.2021 № 46
"Об утверждении описания местоположения границ защитных зон объектов культурного наследия, расположенных на территории Октябрьского района Волгоградской области, режима использования земель в границах защитных зон"
Номер опубликования: 3401202102080007
Дата опубликования: 08.02.2021
Страница №7 из 32:
Увеличить