Официальное опубликование правовых актов
ОФИЦИАЛЬНОЕ ОПУБЛИКОВАНИЕ
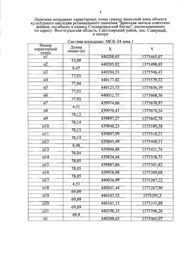
Приказ комитета государственной охраны объектов культурного наследия Волгоградской области от 27.01.2021 № 25
"Об утверждении описания местоположения границ защитных зон объектов культурного наследия, расположенных на территории Светлоярского района Волгоградской области, режима использования земель в границах защитных зон"
Номер опубликования: 3401202101280007
Дата опубликования: 28.01.2021
Страница №27 из 32:
Увеличить