Официальное опубликование правовых актов
ОФИЦИАЛЬНОЕ ОПУБЛИКОВАНИЕ
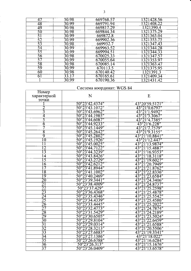
Приказ комитета государственной охраны объектов культурного наследия Волгоградской области от 19.01.2021 № 14
"Об утверждении описания местоположения границ защитных зон объектов культурного наследия, расположенных на территории Новоаннинского и Серафимовичского районов Волгоградской области, режима использования земель в границах данных защитных зон"
Номер опубликования: 3401202101200007
Дата опубликования: 20.01.2021
Страница №4 из 18:
Увеличить