Официальное опубликование правовых актов
ОФИЦИАЛЬНОЕ ОПУБЛИКОВАНИЕ
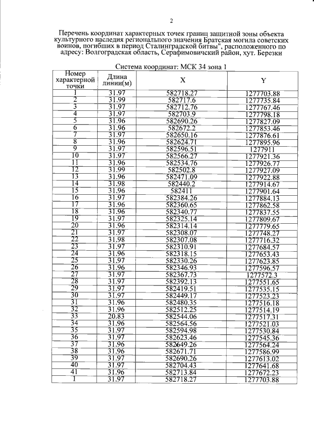
Приказ комитета государственной охраны объектов культурного наследия Волгоградской области от 12.01.2021 № 9
"Об утверждении описания местоположения границ защитных зон объектов культурного наследия, расположенных на территории Серафимовичского района Волгоградской области, режима использования земель в границах данных защитных зон"
Номер опубликования: 3401202101140001
Дата опубликования: 14.01.2021
Страница №3 из 29:
Увеличить