Официальное опубликование правовых актов
ОФИЦИАЛЬНОЕ ОПУБЛИКОВАНИЕ
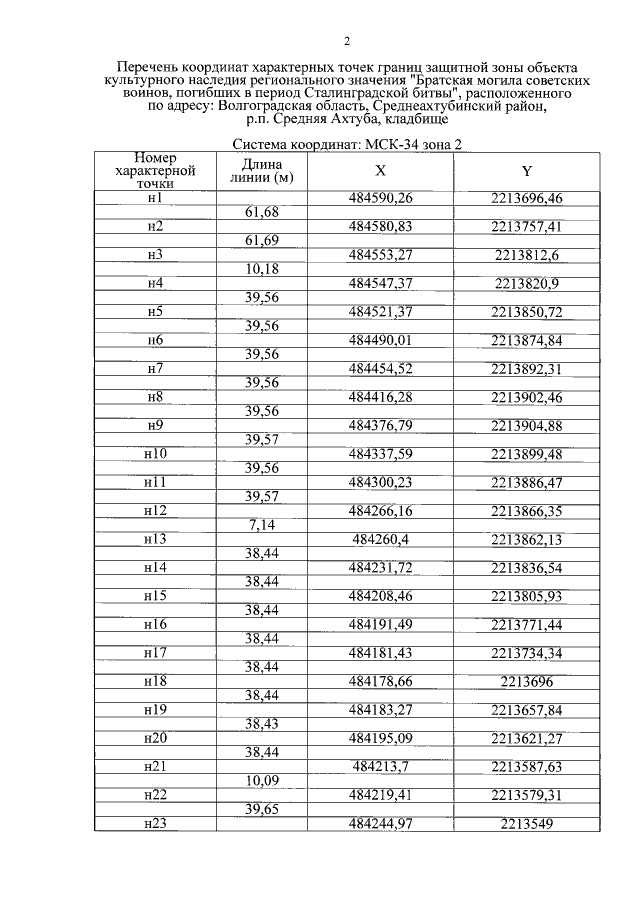
Приказ комитета государственной охраны объектов культурного наследия Волгоградской области от 24.12.2020 № 468
"Об утверждении описания местоположения границ защитных зон объектов культурного наследия, расположенных на территории Среднеахтубинского района Волгоградской области, режима использования земель в границах защитных зон"
Номер опубликования: 3401202012250016
Дата опубликования: 25.12.2020
Страница №7 из 30:
Увеличить