Официальное опубликование правовых актов
ОФИЦИАЛЬНОЕ ОПУБЛИКОВАНИЕ
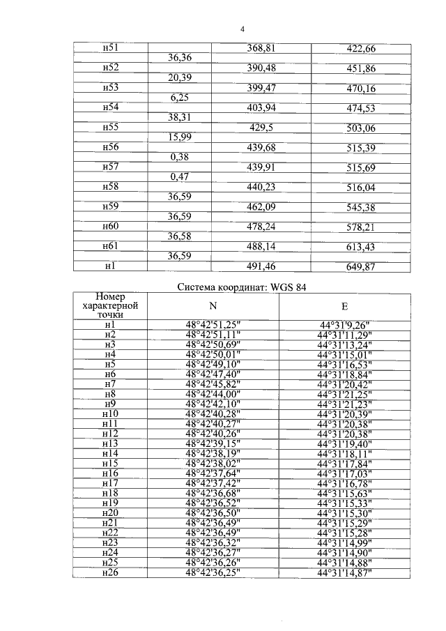
Приказ комитета государственной охраны объектов культурного наследия Волгоградской области от 24.12.2020 № 469
"Об утверждении описания местоположения границ защитных зон объектов культурного наследия, расположенных на территории городского округа город-герой Волгоград, режима использования земель в границах данных защитных зон"
Номер опубликования: 3401202012250007
Дата опубликования: 25.12.2020
Страница №8 из 27:
Увеличить