Официальное опубликование правовых актов
ОФИЦИАЛЬНОЕ ОПУБЛИКОВАНИЕ
Приказ комитета государственной охраны объектов культурного наследия Волгоградской области от 22.12.2020 № 462
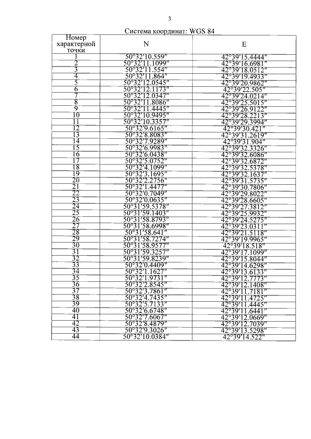
"Об утверждении описания местоположения границ защитных зон объектов культурного наследия, расположенных на территории Новоаннинского и Серафимовичского районов Волгоградской области, режима использования земель в границах данных защитных зон"
Номер опубликования: 3401202012230022
Дата опубликования: 23.12.2020
Страница №4 из 14:
Увеличить