Официальное опубликование правовых актов
ОФИЦИАЛЬНОЕ ОПУБЛИКОВАНИЕ
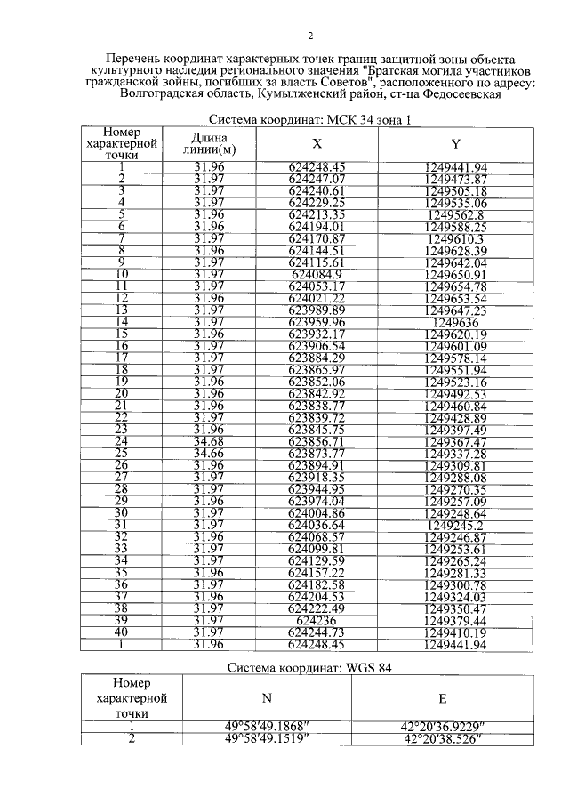
Приказ комитета государственной охраны объектов культурного наследия Волгоградской области от 22.12.2020 № 461
"Об утверждении описания местоположения границ защитных зон объектов культурного наследия, расположенных на территории Кумылженского района Волгоградской области, режима использования земель в границах данных защитных зон"
Номер опубликования: 3401202012230021
Дата опубликования: 23.12.2020
Страница №18 из 29:
Увеличить