Официальное опубликование правовых актов
ОФИЦИАЛЬНОЕ ОПУБЛИКОВАНИЕ
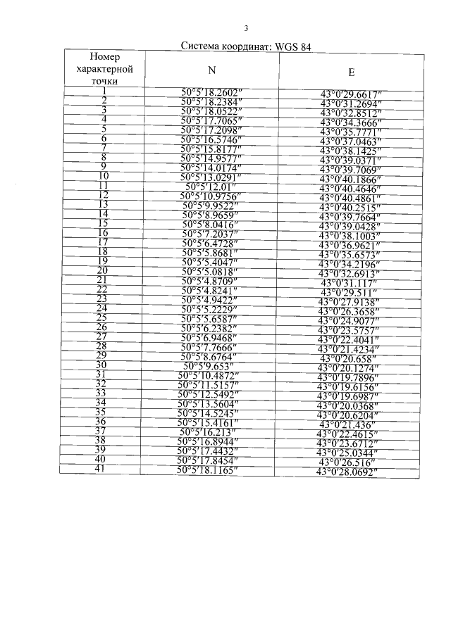
Приказ комитета государственной охраны объектов культурного наследия Волгоградской области от 16.12.2020 № 450
"Об утверждении описания местоположения границ защитных зон объектов культурного наследия, расположенных на территории городского округа город Михайловка Волгоградской области, режима использования земель в границах данных защитных зон"
Номер опубликования: 3401202012170015
Дата опубликования: 17.12.2020
Страница №22 из 32:
Увеличить