Официальное опубликование правовых актов
ОФИЦИАЛЬНОЕ ОПУБЛИКОВАНИЕ
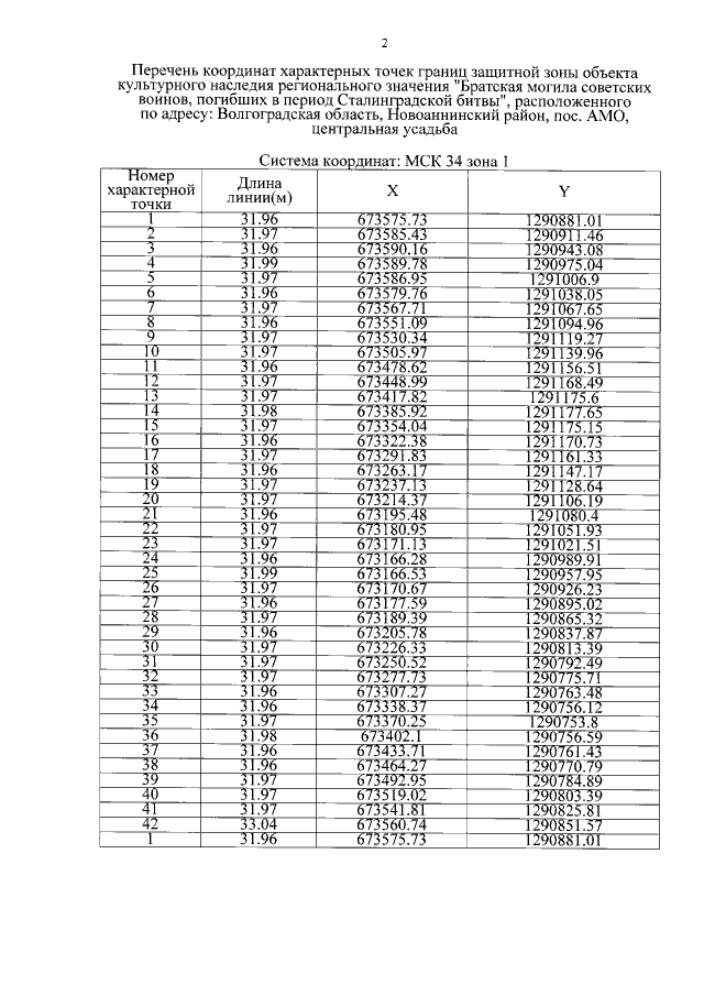
Приказ комитета государственной охраны объектов культурного наследия Волгоградской области от 16.12.2020 № 451
"Об утверждении описания местоположения границ защитных зон объектов культурного наследия, расположенных на территории Новоаннинского района Волгоградской области, режима использования земель в границах данных защитных зон"
Номер опубликования: 3401202012170009
Дата опубликования: 17.12.2020
Страница №18 из 26:
Увеличить