Официальное опубликование правовых актов
ОФИЦИАЛЬНОЕ ОПУБЛИКОВАНИЕ
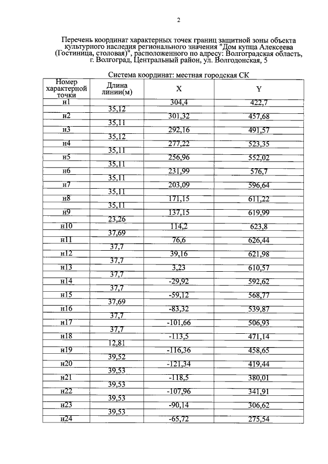
Приказ комитета государственной охраны объектов культурного наследия Волгоградской области от 11.12.2020 № 441
"Об утверждении описания местоположения границ защитных зон объектов культурного наследия, расположенных на территории городского округа город-герой Волгоград, режима использования земель в границах данных защитных зон"
Номер опубликования: 3401202012150004
Дата опубликования: 15.12.2020
Страница №28 из 31:
Увеличить