Официальное опубликование правовых актов
ОФИЦИАЛЬНОЕ ОПУБЛИКОВАНИЕ
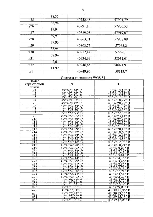
Приказ комитета государственной охраны объектов культурного наследия Волгоградской области от 11.12.2020 № 440
"Об утверждении описания местоположения границ защитных зон объектов культурного наследия, расположенных на территории Фроловского района Волгоградской области, режима использования земель в границах данных защитных зон"
Номер опубликования: 3401202012150003
Дата опубликования: 15.12.2020
Страница №7 из 8:
Увеличить