Официальное опубликование правовых актов
ОФИЦИАЛЬНОЕ ОПУБЛИКОВАНИЕ
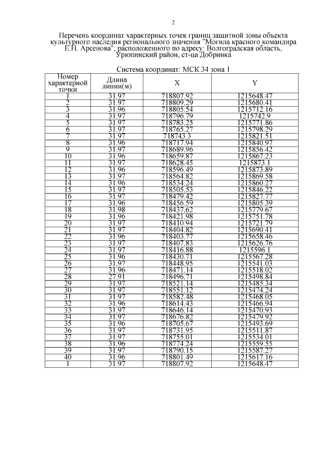
Приказ комитета государственной охраны объектов культурного наследия Волгоградской области от 09.12.2020 № 439
"Об утверждении описания местоположения границ защитных зон объектов культурного наследия, расположенных на территории Урюпинского района Волгоградской области, режима использования земель в границах данных защитных зон"
Номер опубликования: 3401202012110003
Дата опубликования: 11.12.2020
Страница №24 из 29:
Увеличить