Официальное опубликование правовых актов
ОФИЦИАЛЬНОЕ ОПУБЛИКОВАНИЕ
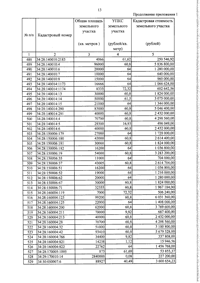
Приказ комитета по управлению государственным имуществом Волгоградской области от 26.11.2020 № 85-н
"О внесении изменения в приказ комитета по управлению государственным имуществом Волгоградской области от 30 октября 2020 г. № 80-н "Об утверждении результатов государственной кадастровой оценки земельных участков категории "Земли особо охраняемых территорий и объектов" на территории Волгоградской области"
Номер опубликования: 3401202011300001
Дата опубликования: 30.11.2020
Страница №14 из 18:
Увеличить