Официальное опубликование правовых актов
ОФИЦИАЛЬНОЕ ОПУБЛИКОВАНИЕ
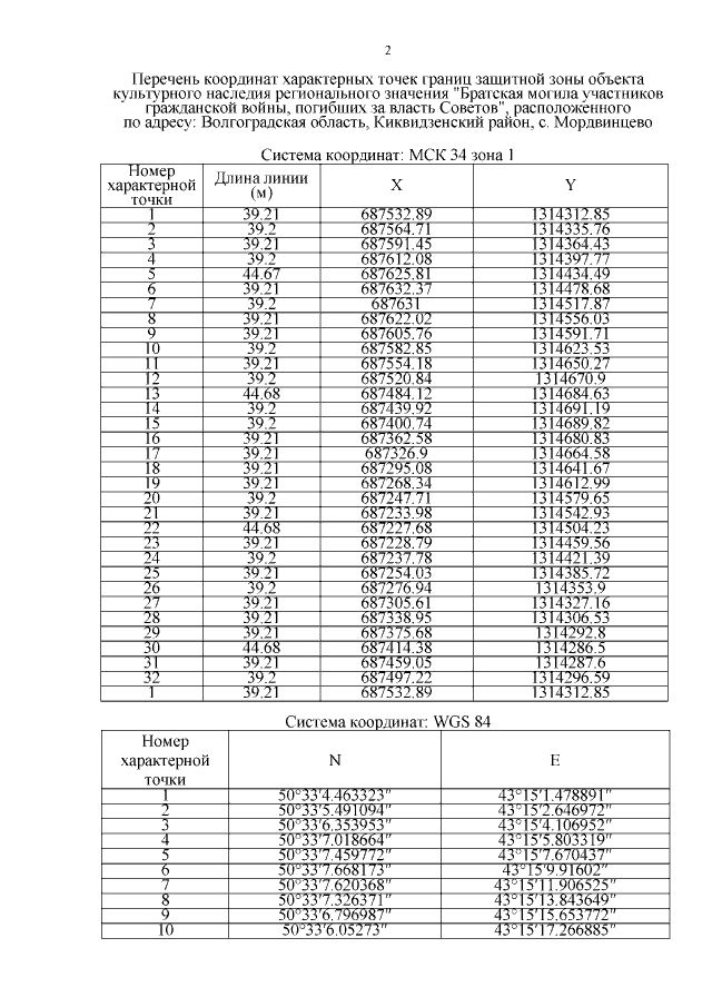
Приказ комитета государственной охраны объектов культурного наследия Волгоградской области от 26.11.2020 № 423
"Об утверждении описания местоположения границ защитных зон объектов культурного наследия, расположенных на территории Киквидзенского и Нехаевского районов Волгоградской области, режима использования земель в границах данных защитных зон"
Номер опубликования: 3401202011270004
Дата опубликования: 27.11.2020
Страница №24 из 35:
Увеличить