Официальное опубликование правовых актов
ОФИЦИАЛЬНОЕ ОПУБЛИКОВАНИЕ
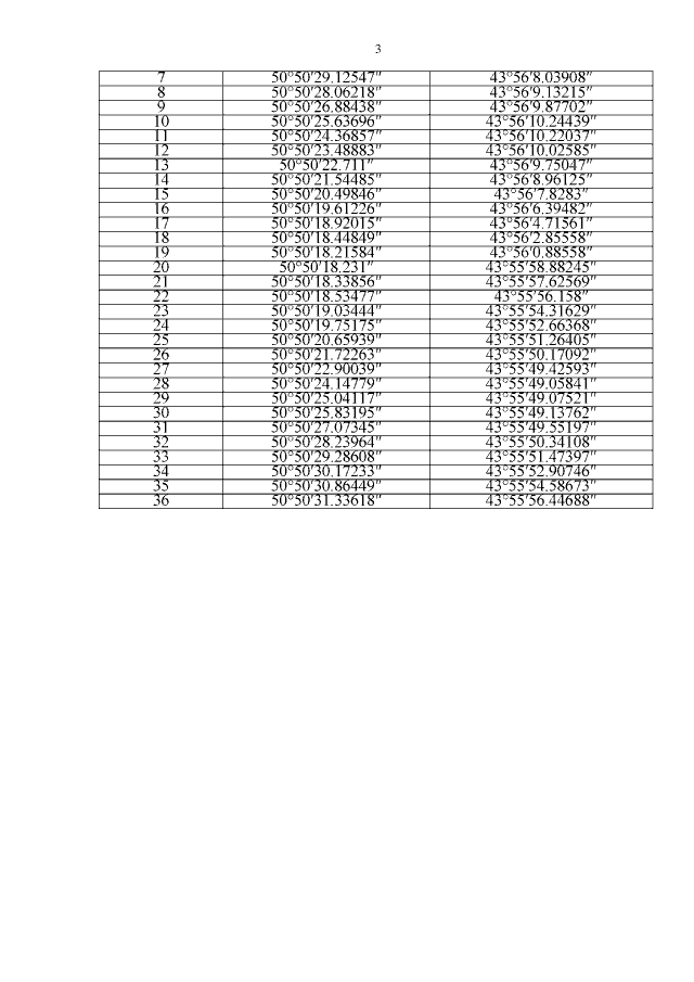
Приказ комитета государственной охраны объектов культурного наследия Волгоградской области от 26.11.2020 № 422
"Об утверждении описания местоположения границ защитных зон объектов культурного наследия, расположенных на территории Еланского района Волгоградской области, режима использования земель в границах данных защитных зон"
Номер опубликования: 3401202011270002
Дата опубликования: 27.11.2020
Страница №28 из 32:
Увеличить