Официальное опубликование правовых актов
ОФИЦИАЛЬНОЕ ОПУБЛИКОВАНИЕ
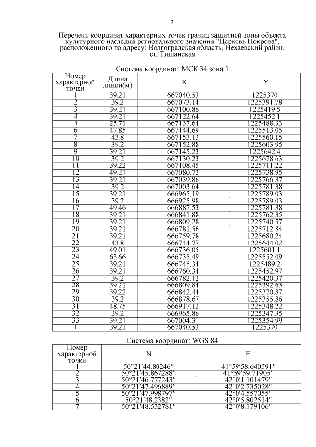
Приказ комитета государственной охраны объектов культурного наследия Волгоградской области от 23.11.2020 № 367
"Об утверждении описания местоположения границ защитных зон объектов культурного наследия, расположенных на территории Нехаевского района Волгоградской области, режима использования земель в границах данных защитных зон"
Номер опубликования: 3401202011250003
Дата опубликования: 25.11.2020
Страница №3 из 32:
Увеличить