Официальное опубликование правовых актов
ОФИЦИАЛЬНОЕ ОПУБЛИКОВАНИЕ
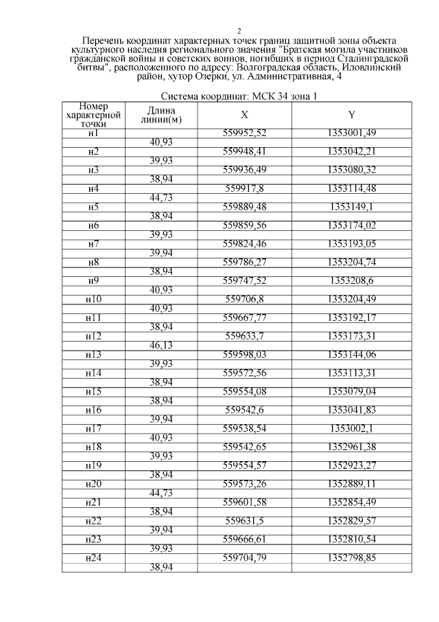
Приказ комитета государственной охраны объектов культурного наследия Волгоградской области от 16.11.2020 № 326
"Об утверждении описания местоположения границ защитных зон объектов культурного наследия, расположенных на территории Иловлинского района Волгоградской области, режима использования земель в границах данных защитных зон"
Номер опубликования: 3401202011190005
Дата опубликования: 19.11.2020
Страница №12 из 32:
Увеличить