Официальное опубликование правовых актов
ОФИЦИАЛЬНОЕ ОПУБЛИКОВАНИЕ
Приказ комитета государственной охраны объектов культурного наследия Волгоградской области от 17.11.2020 № 333
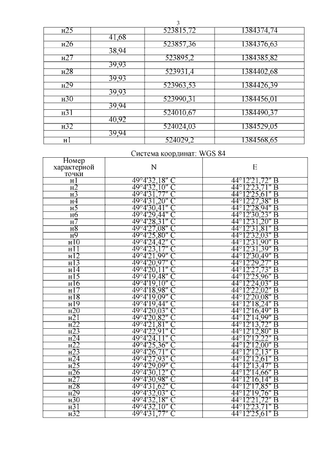
"Об утверждении описания местоположения границ защитных зон объектов культурного наследия, расположенных на территории Иловлинского района Волгоградской области, режима использования земель в границах данных защитных зон"
Номер опубликования: 3401202011180033
Дата опубликования: 18.11.2020
Страница №7 из 32:
Увеличить