Официальное опубликование правовых актов
ОФИЦИАЛЬНОЕ ОПУБЛИКОВАНИЕ
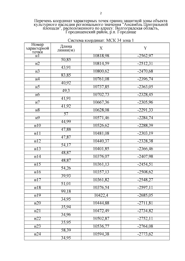
Приказ комитета государственной охраны объектов культурного наследия Волгоградской области от 16.11.2020 № 323
"Об утверждении описания местоположения границ защитных зон объектов культурного наследия, расположенных на территории Городищенского района Волгоградской области, режима использования земель в границах данных защитных зон"
Номер опубликования: 3401202011180032
Дата опубликования: 18.11.2020
Страница №25 из 27:
Увеличить