Официальное опубликование правовых актов
ОФИЦИАЛЬНОЕ ОПУБЛИКОВАНИЕ
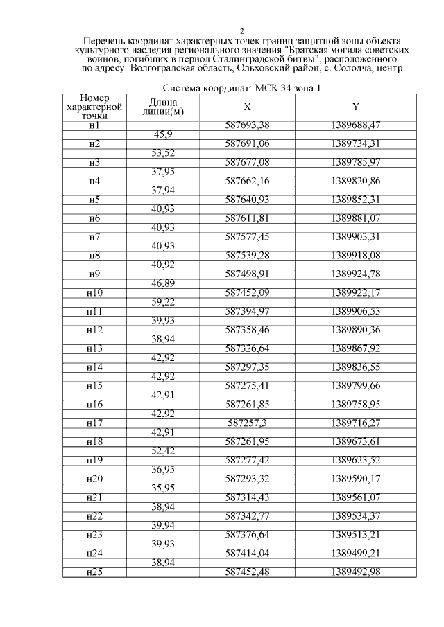
Приказ комитета государственной охраны объектов культурного наследия Волгоградской области от 16.11.2020 № 324
"Об утверждении описания местоположения границ защитных зон объектов культурного наследия, расположенных на территории Ольховского района Волгоградской области, режима использования земель в границах данных защитных зон"
Номер опубликования: 3401202011180030
Дата опубликования: 18.11.2020
Страница №27 из 35:
Увеличить