Официальное опубликование правовых актов
ОФИЦИАЛЬНОЕ ОПУБЛИКОВАНИЕ
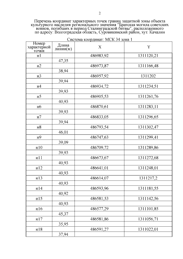
Приказ комитета государственной охраны объектов культурного наследия Волгоградской области от 11.11.2020 № 318
"Об утверждении описания местоположения границ защитных зон объектов культурного наследия, расположенных на территории Суровикинского и Калачевского районов Волгоградской области, режима использования земель в границах данных защитных зон"
Номер опубликования: 3401202011170004
Дата опубликования: 17.11.2020
Страница №27 из 42:
Увеличить