Официальное опубликование правовых актов
ОФИЦИАЛЬНОЕ ОПУБЛИКОВАНИЕ
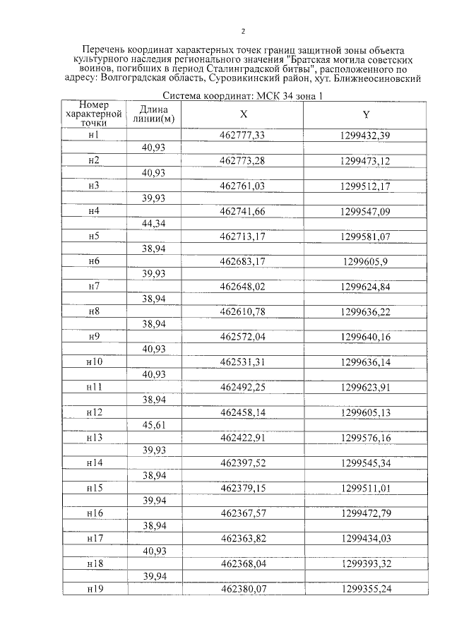
Приказ комитета государственной охраны объектов культурного наследия Волгоградской области от 11.11.2020 № 317
"Об утверждении описания местоположения границ защитных зон объектов культурного наследия, расположенных на территории Суровикинского района Волгоградской области, режима использования земель в границах данных защитных зон"
Номер опубликования: 3401202011160025
Дата опубликования: 16.11.2020
Страница №19 из 41:
Увеличить